圖8-21所示為差動式電容加速度傳感器結構圖。它有兩個固定極板(與殼體絕緣),中間有一用彈簧片支撐的質量塊,此質量塊的兩個端面經過磨平抽光后作為可動極板(與殼體電連接)。彈簧較硬使得系統的固有頻率較高,因此構成慣性式的加速度計的工作狀態。
當傳感器殼體隨被測對象在垂直方向上做直線加速運動時,傳感器殼體固定在被測振動體上,振動體的振動使得殼體相對質量塊運動,因而與殼體固定在一起的兩個固定極板相對質量塊運動,致使上固定電極與質量塊的A面組成的電容C2值以及下固定極板與質量塊的B面組成的電容C1值隨之改變,一個增加,一個減小,從而使C1、C2產生大小相等。符號相反的增量,此增量正比于被測加速度。
由于采用空氣阻尼,氣體的黏度溫度系數比液體小得多,因此,這種加速度傳感器的精度較高,頻率響應范圍寬,量程大,可以測得很高的加速度值。
差動式電容測厚傳感器圖
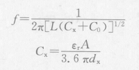
8-22(a)為頻率型差動式電容測厚傳感器系統組成方框圖。將被測電容C1、C2作為各變換振蕩器的回路電容,振蕩器的回路電容,振蕩器的其他參數為固定值,等效電路如圖8-22(b)所示,圖中C0 為耦合和寄生電容,振蕩頻率f為
所以






